榆林大学文学院2026年硕士研究生招生复试公告(调剂第一批)
根据《榆林学院文学院2026年硕士研究生招生复试实施细则》,经文学院研究生招生复试录取工作小组研究,现就我院学科教学(语文)、新闻与传播硕士研究生调剂第一批复试事项通知如下。
一、复试资格及审核
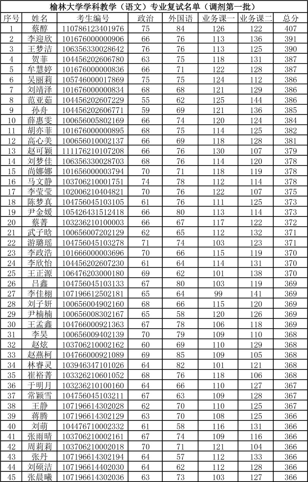
(一)复试名单


(二)资格审查
时间:2026年4月11日(星期六)8:00-9:00
地点:3号教学楼216会议室
考生资格审查时须提供:①身份证(原件及复印件);②准考证;③毕业证原件及《教育部学历证书电子注册备案表》(往届生);④学生证及《教育部学籍在线验证报告》(应届生);⑤《榆林学院2026年研究生复试思想政治素质和品德考核表》(附件1);⑥《榆林学院2026年研究生招生考试复试考生承诺书》(附件2)。
所有考生复试前须完成学籍学历校验,复试期间将进行严格的身份确认和资格审查,对不符合规定者,不予复试。
二、复试程序、内容及形式
(一)专业综合面试、外语听力及口语测试
1.复试内容:
(1)专业能力考核(100分):主要考查考生对专业知识的理解、掌握及应用的水平与能力,对报考专业的认识程度等。面试小组成员根据考生的回答情况评定成绩。
(2)英语能力考核(50分):主要考察考生外语听说能力和专业外语掌握情况,面试小组成员根据考生的听说情况评定成绩。
(3)思想品德考核:思想品德考核具有一票否决权。考核内容包括考生的政治态度、思想表现、道德品质、遵纪守法、诚实守信等方面。
2.复试形式:
(1)采用现场复试的方式,考生须按指定时间来校复试。
(2)由复试小组采用提问、测试等形式进行。面试时间为每生不少于20分钟。
3.复试时间:2025年4月11日(星期六)9:00-18:00
4.新闻与传播专业复试地点:榆林学院文学院3号教学楼102教室
学科教学(语文)专业复试地点:榆林学院文学院3号教学楼216教室
四、成绩计算办法
(一)复试成绩
1.复试满分150分,其中,专业综合情况面试满分100分,外语听力及口语测试满分50分。
2.考生复试总成绩必须按百分制折算,折算方法:
复试总成绩=(专业综合情况面试成绩+外语听力及口语测试成绩)÷150×100
3.缺少任何一项复试环节者,不予录取。
(二)总成绩
考生总成绩=(考生初试总成绩÷初试各科满分之和)×50%×100+考生复试总成绩×50%
总成绩采用百分制,保留小数点后两位,四舍五入,如保留两位有成绩相同的考生,可增加小数点后位数。
文学院研究生招生复试录取工作小组
2026年4月8日
